
为什么总是说AT变速箱比AMT以及DCT更加平顺?为什么跑车又往往更青睐DCT而不乐意用AT?为什么有的车嗷嗷叫却跑不快?这一切的一切都起源于变速箱中的一个部件:液力变矩器。这篇讲堂就来详细讲一讲液力......

为什么总是说AT变速箱比AMT以及DCT更加平顺?为什么跑车又往往更青睐DCT而不乐意用AT?为什么有的车嗷嗷叫却跑不快?这一切的一切都起源于变速箱中的一个部件:液力变矩器。这篇讲堂就来详细讲一讲液力变矩器。
手动挡的车都需要踩离合器,而自动挡就不需要了,但既然仍然必须有一个间隔发动机和传动系统的装置,液力变矩器在动力传动系统便起到了传统离合器的作用。并在此基础上,比起传统的摩擦片结构的离合器多了一个变速变矩的功能。
☆离合器的分类
汽车上用的离合器主要有两种,第一种是依靠膜片弹簧压紧/分离摩擦片,依靠摩擦片之间摩擦力传递动力的膜片式离合器。摩擦片压紧之后,动力传递是刚性的,发动机本身的不平顺都能够被传递,同时半联动状态的颤动无法避免。另一种就是依靠液压油传递动力的液力变矩器,因为负责传递动力的成分是液体,因此发动机飞轮与变速箱输入轴之间的连接是柔性的,没有了膜片式离合器摩擦片接合时的冲击,也消除了发动机本身的振动与不平顺。
☆液力耦合器在谈液力变矩器之前,让我们先来认识一个它的兄弟,液力耦合器。液力变矩器是在液力耦合器的结构基础上增加部件发展而来。

小时候都玩过风车吧,拿着小风车放在电风扇前边,风车也会被吹的转起来,电风扇转越快,风车也会转的越快。液力耦合器就是这个原理,只不过吹的不是风,而是油。液力耦合器最主要的部件是泵轮和涡轮。两者长得差不多,都是一个碗里边插着许多叶片,而泵轮和涡轮之间则被油液填满。

泵轮

涡轮
泵轮就是那个电风扇,而涡轮则是小风车,泵轮连接发动机飞轮,涡轮连接变速箱输入轴。泵轮搅动油液,油液旋转,被甩向外侧,冲击到涡轮的叶片上,带动涡轮转动,并回到内侧流回泵轮,形成循环。油液在液力变矩器中有两个方向的旋转,一个是从泵轮-涡轮-泵轮的旋转运动,另一个就是绕着轴的旋转运动,呈螺旋前进。

正因为需要油液“冲击”,所以液力耦合器如果需要传递力矩,泵轮就必须比涡轮转的更快。而转速差越大,液力耦合器传递的力矩也越大。但是,液力耦合器的特点就是有一说一,发动机的扭矩多大,传递出去的也就只能有这么多。
这就意味着,液力耦合器的损耗很大。液力耦合器的传递特性是,损失转速,传递的力却同样大。我们知道,功率等于力矩乘以转速,经过液力耦合器的中转,功率自然损失,而且发动机输出的扭矩越大,转速差越大,损失的功率也越多。
☆液力变矩器的结构液力变矩器的结构是在液力耦合器的基础上增加了一个导轮,比泵轮和涡轮要小一号,位于两者包成的容器内部。导轮是固定不动的,因此也被称为定子(stator)。

如下图,泵轮作为主动轮,叶片推动油液冲击到涡轮上,产生了Fp红色的力,之后经过涡轮叶片的导向,油液变换方向继续流向固定的导轮,冲击在导轮叶片上,产生反作用力Fs蓝色的力。

最终,涡轮作为从动轮受到的力是Fp和Fs的合力,只要油液冲击方向合理(叶片及转速差合理),该合力可能大于泵轮的输入力矩。液力变矩器也因此拥有了降速增扭的能力。

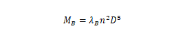
先不考虑涡轮导轮,单独考虑作为液力变矩器输入的泵轮,泵轮的输入特性,也既泵轮能够被加诸的负载公式为:


泵轮的输入转矩与泵轮结构,泵轮的转速和泵轮直径相关。这很容易理解,想想一下,用扇子扇风,扇地越快,扇子越大,风越大也越费力,风对应了泵轮的输出,而手上的力对应了发动机的输出,“快”和“大”对应了泵轮转速和泵轮直径。
至于泵轮容量系数大致包含两块,一个是泵轮叶片本身的设计,另一个是油液的性质。前者可以这么理解,扇面迎风,风大且劲,扇面顺风,只听嗖嗖;后者,在水里迈步和在路上自然有很大区别。(此外,还和转速比有一定关联)

因此,也就能够理解为什么起步要吊转速,除了让发动机处于最大扭矩输出区间之外,还需要让液力变矩器的泵轮也达到一定的转速,提高输入转矩,从而提高输出转矩。而吊转速也不会特别高,一般3000rpm左右,也是两种原因结合,第一自然是保护,由于车辆不动,发动机输出的能量全部被转换为油液的热量,另一方面也是因为泵轮上的扭矩已经足够大了。
再进一步,对于液力变矩器的测试中有一项就是吊转速,如果发动机转速过高,代表着液力变矩器的输入特性已经被破坏,扭矩容量过小。该去检查是不是油液出问题了。

图中横坐标转速比是液力变矩器传力的基础,随着转速比的变化,其他特性都会发生较大的改变,转速比为0意味着涡轮转速输出为0,最右侧交点为转速比=1,意味着涡轮和泵轮转速相同,0-1之间为液力变矩器的工作范围。
先来看那条一泻千里的K线,K为变矩系数,可以看到,随着转速比的提高,变矩系数急剧下降。在转速比为0时,变矩系数最大,大于1,具体数值和液力变矩器设计及油液性质有关。因此,在起步阶段(转速比为0),液力变矩器能够将发动机输出的扭矩放大,所以比起有一说一的摩擦片式离合器,采用液力变矩器能够明显改善起步能力。而当转速比接近1时,液力变矩器的传力能力会降至0,由于正常行驶中需要克服行驶阻力,因此液力变矩器的泵轮和涡轮之间总是存在转速差。
再看抛物线η,代表效率,效率随着转速比先提高后降低,不仅低转速比时效率较低,在高高转速比,也就是低负载巡航阶段效率也会有较大的下降。高于0.75便可称为高效区,也是液力变矩器的一般工作区间。但液力变矩器的最高效率点一般也不会超过0.9。也就是说,在车辆驱动过程中,发动机功率会有接近四分之一损失在液力变矩器上,相比之下,传统摩擦片式离合器的效率一般在0.95以上。所以采用液力变矩器的AT往往比双离合或者MT更费油。

但是,真实生活中,AT变速箱虽然会更费油,但差距并不大,并没有液力变矩器与摩擦片式离合器效率的差距那么大。这是因为现在车上用的液力变矩器并不是单纯的液力变矩器,还有更多的机械结构实现更好的性能。这边说两种:
第一,可以看到,液力变矩器在高转速比时传力特性较差,甚至低于1,也就是发动机输出100Nm,而经过液力变矩器之后只有了50Nm,而且,不像齿轮传统,减扭的同时会增速,液力变矩器在高转速比时仍是降速,减扭降速因此效率直降。
造成这种现象的原因在固定的导轮,虽然上文介绍了固定的导轮让油液冲击时提供了一个反作用力,使涡轮上的力为泵轮+导轮反作用力泵轮,但对于油液的冲击方向和叶片设计有严苛的要求。当转速比提高,油液的冲击方向会有所改变,反而冲击到导轮叶片的背面,如此涡轮上受到的力是泵轮-导轮反作用力泵轮。
在这种时候,反而液力耦合器的特性(降速但不减扭)会更好,因此,通过增加一个锁止离合器,在低转速比阶段固定导轮呈现增扭的液力变矩器特性,在高转速比阶段,松开导轮使其能够自由旋转,这时便呈现液力耦合器特性。
第二种方法则是很多车企都会宣传的液力变矩器锁止技术,比如马自达创驰蓝天技术、丰田DirectShift技术等。既将泵轮和涡轮通过机械固连,从油液的软连接变成硬连接,发挥的性能与摩擦片离合器无二,传递效率提高,但可能存在的缺点也和摩擦片式离合器一样,另外液力变矩器的锁止由于结构关系,能够承受的扭矩必然不如摩擦片式离合器,无法用于急加速等大扭矩输出工况。因此,何时锁止,保证液力变矩器原有平顺,增扭优点的同时,如何扩大锁止范围等等,是当前AT的发展方向。
有些老款自动挡车型,在锁止方面做得不到位,就会出现以下情况:急加速时发动机转速迅速升高,但是车辆却没有与发动机转速匹配的加速感。另外,很多平顺性也会导致车辆对于发动机的响应速度变差。迅速踩-收-踩-收逗弄油门踏板,就算发动机能够跟上,但液力变矩器也会将其吸收,将三角波变成正弦波。因此,大部分性能车都不倾向于使用自动变速箱,
简单的优劣总结优点:
1.增扭,更易起动
2.软连接,消除发动机的振动,更加平顺
缺点:
1.效率低,不省油
2.传动不直接,动态响应较差