
近日,中国科学院院士、中国科学院大学教授、亚太国际理论物理中心和中科院理论物理研究所研究员吴岳良,在揭秘爱因斯坦统一场论的研究中取得突破,创建了超统一场论(hyperunifiedfieldtheor......
近日,中国科学院院士、中国科学院大学教授、亚太国际理论物理中心和中科院理论物理研究所研究员吴岳良,在揭秘爱因斯坦统一场论的研究中取得突破,创建了超统一场论(hyperunifiedfieldtheory)。该理论受相对论性狄拉克旋量理论、爱因斯坦广义相对论、杨-米尔斯规范理论和大统一理论的启发,并基于吴岳良前期发展的引力量子场论的研究成果,为揭示爱因斯坦统一场论理念中的不解之谜,探索终极统一理论打开了一扇新窗口。
自1915年爱因斯坦创立广义相对论以来,物理学家、数学家致力于构建一套能够统一描述自然界已知基本相互作用的理论。爱因斯坦进行了长期且广泛深入的探索,试图在经典统一场论框架内建立描述电磁力和引力的统一理论。他花费了后半生几乎所有的时间探寻统一场论,尽管所有的尝试最终未能取得成功,但其关于统一场论的理念一直延续至今。爱因斯坦统一场论之梦成为一代又一代理论物理学家和数学家们所追求的梦想。
在超统一场论中,所有已知的基本粒子(夸克和轻子)统一成为十九维超时空(hyper-spacetime)中的单一基本粒子——马约拉纳型超旋量场(Majorana-typehyper-spinorfield),其旋量结构由基本粒子超自旋荷(hyper-spincharge)的量子特性所决定。所有已知的基本相互作用(引力、电磁、弱和强作用力)由超旋量场的超自旋规范对称性(hyper-spingaugesymmetry)统一支配,并由超自旋规范场(hyper-spingaugefield)和与之相伴随的超引力场(hyper-gravifield)统一描述。
超统一场论的建立遵从两个基本指导原则:一是基本粒子的内稟量子数和独立自由度决定时空的维度与结构;二是描述自然规律的作用量遵循规范不变原理且与坐标选取无关。原则之一使基本粒子的内稟特性和对称性与时空的几何特性和对称性建立起对应关联,导致所有基本粒子合并统一成为超时空中的超旋量场,超旋量场的旋量结构反映超时空的几何性质。原则之二导致局域平坦超引力场时空(locallyflathyper-gravifieldspacetime)作为自然演生(emergent)的非坐标内稟超时空而呈现,使所有基本相互作用统一成为超引力场时空中的超自旋规范相互作用(hyper-spingaugeinteraction)。由此导出规范-引力对应原理(gauge-gravitycorrespondence)。
基于构建超统一场论的基本原理,自然地引入双标架超时空(biframehyper-spacetime)概念,并赋予高维超时空以物理和几何涵义。标架之一是整体平坦的闵氏超时空,起惯性参考系的作用,能很好地定义坐标时空的度量和物理守恒量,用以描述基本场的运动学;另一标架则是局域平坦的超引力场时空,起着传递局域相互作用和能量的作用,能很好地定义和表征基本场内稟自由度之间的相干关联和规范守恒流,用以刻画基本场的动力学。数学上,双标架超时空形成几何的纤维丛结构,整体平坦的闵氏超时空和局域平坦的超引力场时空分别作为纤维丛的底时空和其纤维。作为底时空的闵氏超时空是一个没有相互作用存在的真空超时空,而当作纤维的超引力场时空是一个具有非对易几何结构的真实超时空,其非对易性由超引力场的规范场强来刻画。超引力场时空构成一个实在宇宙,原则上可由基本场的相互作用探测其性质。
在引力量子场论的理论框架下,超统一场论具有闵氏超时空的最大庞加莱对称性(非齐次洛伦茨对称性)PO(1,18)和超引力场时空的最大超自旋规范对称性SP(1,18)以及整体和局域的标度对称性。可导出所有对称性对应的守恒定律和基本场的运动方程,尤其是包含超引力场能动量在内的总的超应力能动量张量守恒定律(hyper-stressenergymomentumconservationlaw)。给出由守恒的双协变超矢量流所支配的超引力场的规范引力方程,并借此导出由守恒的超应力能动量张量所决定的超度规引力场的几何引力方程。超应力能动量张量的对称部分对应于超时空中推广的爱因斯坦引力场方程。超统一场论的标度规范不变性由标度标量场和标度规范场刻画,对研究宇宙的基本能量标度以及宇宙的起源和演化起基础性作用。
超引力场作为定义在双标架超时空中的双协变矢量场(bicovariantvectorfield),是一个规范型矢量场,也起着Goldstone玻色场的作用。作为Goldstone玻色场的超引力场的对称变换决定超自旋规范对称性,从而揭示规范对称性的引力起源。
超统一场论的超时空被证明具有隐性广义线性群对称性GL(19,R)(hiddengenerallineargroupsymmetry),在四维时空中,此对称性奠定了爱因斯坦广义相对论的基础。论证表明,超引力场的规范相互作用可等效为超时空度规联络的相互作用,并由超时空黎曼几何的曲率张量来描述。由此导出引力-几何对应原理(gravity-geometrycorrespondence)。
基于广义标度规范不变条件和幺正规范固定条件,研究表明,超引力场的规范动力学完全等价于超引力度规场(hyper-gravimetricfield)的几何动力学,由此揭示引力的规范-几何对偶性质(gravitationalgauge-geometryduality)。最终得出结论:构建超统一场论所遵循的基本原理比爱因斯坦建立广义相对论所假设的广义协变原理更基本和更普遍。
超统一场论的建立涉及对时空观念、几何观念和宇宙观念以及物质观念和能量观念的重新认识。该理论预言新的矢量型夸克和轻子、镜像夸克和轻子、多重态规范矢量玻色子和有效标量玻色子等新粒子以及自旋力和标度力等新的相互作用力的存在。深入研究超统一场论的动力学和新物理唯象、探索对称破缺机制和维数约化模型以及探测引力波的基本性质和引力宇宙,将对深刻认识四维时空结构的生存宇宙,理解引力本质、宇宙起源、质量起源、暗物质和暗能量等基本科学问题,以及检验超统一场论和探秘自然界基本规律起重要作用。
相关研究成果发表在TheEuropeanPhysicalJournalC上。研究工作得到了中科院战略性先导科技专项、前沿科学重点研究计划和国家自然科学基金等的支持。

超统一场论中超引力场的规范引力方程

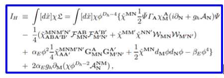
引力量子场论理论框架下给出的规范不变超统一场论作用量

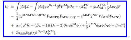
引力规范几何对偶性导出的广义坐标不变超统一场论作用量